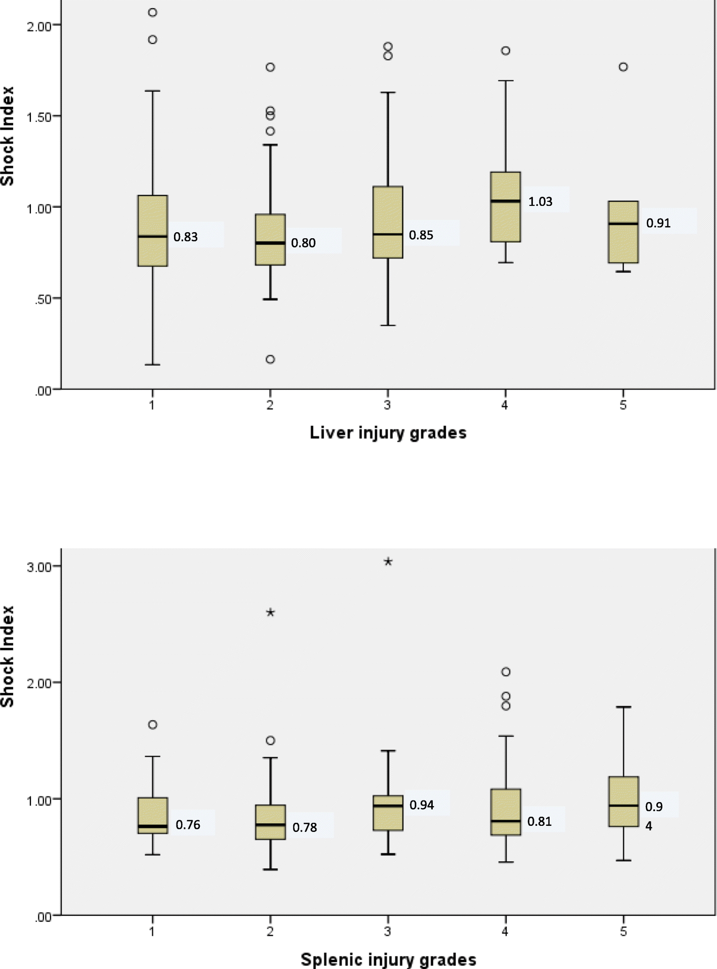
Fig. 2From: Shock index in patients with traumatic solid organ injury as a predictor of massive blood transfusion protocol activationShock Index by (a) liver and (b) splenic injury gradesBack to article page